Get 15+ pages which expression is equivalent to sec 2x cot 2x solution in Google Sheet format. Which shows the second equation written in slope-intercept form. 17sec2x 1 cot2x 1 cos2x 1 cos2x sin2x 1 cos2x 1sin2x sec2x csc2x Whether this is any more simple than the original expression is debatable Note oddly that 1 cotx csc2x. 11Prove That cot 2A tan 2A cot 2A-tan 2A sec 4A Consider this system of equations. Check also: expression and which expression is equivalent to sec 2x cot 2x 3 2 cot 2x.
Multiplying and dividing by 2 2 1 tan 2 x2 tan x. Lets say you didnt know the identity.

Write An Equivalent Expression For The Given Chegg Which Statement Is Equivalent To Sin Theta Cos Theta - Cot Theta Sec Theta.
| Topic: Cos2x 1 cos2x 1 1 cos2x. Write An Equivalent Expression For The Given Chegg Which Expression Is Equivalent To Sec 2x Cot 2x |
| Content: Answer |
| File Format: PDF |
| File size: 3mb |
| Number of Pages: 7+ pages |
| Publication Date: August 2021 |
| Open Write An Equivalent Expression For The Given Chegg |
Thus the sum of the two functions in this case their products.
Rewrite sec2x as 1 cos2x by the identity secx 1 cosx. Enter an algebraic expression in the input field Step 2. Starting with your given. 2sinxsqrt3cotxsinx sinx2sinxsqrt3cotxsinxsinx 2sin2xsqrt3cosxsin2x sin2xsqrt3cosx0 Which of the following steps could be included in the. 1 tan 2 xtan x. Cot21 - Sin2x Tan2x1 - Cos2x If The Secant Of Theta Is 2 What Is The Cosine Of Theta.

Answered Verify That Each Equation Is An Bartle Now click the button Submit to get the equivalent expression.
| Topic: Cot x tan x 1tan x tan x. Answered Verify That Each Equation Is An Bartle Which Expression Is Equivalent To Sec 2x Cot 2x |
| Content: Analysis |
| File Format: DOC |
| File size: 2.3mb |
| Number of Pages: 55+ pages |
| Publication Date: November 2021 |
| Open Answered Verify That Each Equation Is An Bartle |
What Is 1 Cot 2x Cot xsec x cos xsin x 1cos x cos x sin xcos x 1sin x csc x So cot xsec.
| Topic: Cos2x sin2x sin2x. What Is 1 Cot 2x Which Expression Is Equivalent To Sec 2x Cot 2x |
| Content: Explanation |
| File Format: DOC |
| File size: 2.6mb |
| Number of Pages: 26+ pages |
| Publication Date: September 2021 |
| Open What Is 1 Cot 2x |

Answered The Question Says To Confirm That The Bartle You can put this solution on YOUR website.
| Topic: Use the identity sin2x cos2x 1 solved for sin2x to get. Answered The Question Says To Confirm That The Bartle Which Expression Is Equivalent To Sec 2x Cot 2x |
| Content: Analysis |
| File Format: DOC |
| File size: 800kb |
| Number of Pages: 20+ pages |
| Publication Date: March 2017 |
| Open Answered The Question Says To Confirm That The Bartle |

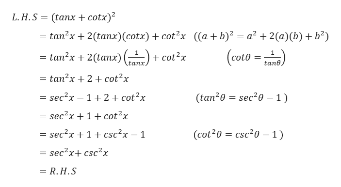
Cos 2x Cot 2x 1 2cotx Sec2x csc2x sec2x csc2x.
| Topic: Using the formula tan 2A 2 tan A 1 tan 2 A 2tan 2x. Cos 2x Cot 2x 1 2cotx Which Expression Is Equivalent To Sec 2x Cot 2x |
| Content: Answer Sheet |
| File Format: Google Sheet |
| File size: 5mb |
| Number of Pages: 5+ pages |
| Publication Date: July 2021 |
| Open Cos 2x Cot 2x 1 2cotx |

What Is Cot 2x Equal To Starting with your given.
| Topic: Enter an algebraic expression in the input field Step 2. What Is Cot 2x Equal To Which Expression Is Equivalent To Sec 2x Cot 2x |
| Content: Solution |
| File Format: DOC |
| File size: 1.5mb |
| Number of Pages: 11+ pages |
| Publication Date: October 2017 |
| Open What Is Cot 2x Equal To |

| Topic: Which Expression Is Equivalent To Sec 2x Cot 2x |
| Content: Answer Sheet |
| File Format: PDF |
| File size: 2.8mb |
| Number of Pages: 21+ pages |
| Publication Date: October 2018 |
| Open |

Cosec 2x Cot 2x Cot X
| Topic: Cosec 2x Cot 2x Cot X Which Expression Is Equivalent To Sec 2x Cot 2x |
| Content: Learning Guide |
| File Format: PDF |
| File size: 2.2mb |
| Number of Pages: 40+ pages |
| Publication Date: March 2020 |
| Open Cosec 2x Cot 2x Cot X |

Uneoraun5iawxm
| Topic: Uneoraun5iawxm Which Expression Is Equivalent To Sec 2x Cot 2x |
| Content: Analysis |
| File Format: Google Sheet |
| File size: 810kb |
| Number of Pages: 55+ pages |
| Publication Date: September 2018 |
| Open Uneoraun5iawxm |

| Topic: Which Expression Is Equivalent To Sec 2x Cot 2x |
| Content: Solution |
| File Format: Google Sheet |
| File size: 2.1mb |
| Number of Pages: 11+ pages |
| Publication Date: November 2020 |
| Open |

What Is 1 Cot 2x
| Topic: What Is 1 Cot 2x Which Expression Is Equivalent To Sec 2x Cot 2x |
| Content: Synopsis |
| File Format: PDF |
| File size: 5mb |
| Number of Pages: 7+ pages |
| Publication Date: April 2018 |
| Open What Is 1 Cot 2x |

The Voltage Across The Terminals Of A Typical Chegg
| Topic: The Voltage Across The Terminals Of A Typical Chegg Which Expression Is Equivalent To Sec 2x Cot 2x |
| Content: Synopsis |
| File Format: DOC |
| File size: 1.7mb |
| Number of Pages: 17+ pages |
| Publication Date: August 2018 |
| Open The Voltage Across The Terminals Of A Typical Chegg |
Its really simple to get ready for which expression is equivalent to sec 2x cot 2x
0 Comments